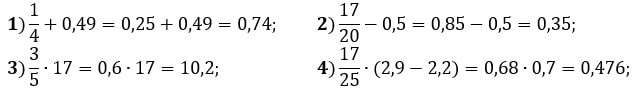
Завдання:
Подай звичайний дріб у вигляді десяткового і виконай дії:
1) 1/4 + 0,49;
2) 17/20 – 0,5;
3) 3/5 ∙ 17;
4) 17/25 ∙ (2,9 – 2,2).

Розв'язок:

Подай звичайний дріб у вигляді десяткового і виконай дії:
1) 1/4 + 0,49;
2) 17/20 – 0,5;
3) 3/5 ∙ 17;
4) 17/25 ∙ (2,9 – 2,2).


