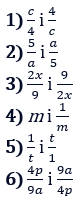
§ 11. Взаємно обернені числа № 418 - 436 Завдання № 432 Завдання: Знайди число, обернене числу (a, c, m, p, t, x — натуральні числа): Розв'язок: Завдання № 431 Завдання № 431 Завдання № 433 Завдання № 433