Завдання:
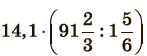
Обчисли значення виразу
та дізнаєшся визначну дату з історії міста Коростеня Житомирської області. Дізнайся, що це за дата.
Розв'язок:

Відповідь: 705 рік – заснування міста Коростень.
Обчисли значення виразу
та дізнаєшся визначну дату з історії міста Коростеня Житомирської області. Дізнайся, що це за дата.

Відповідь: 705 рік – заснування міста Коростень.
