Завдання:
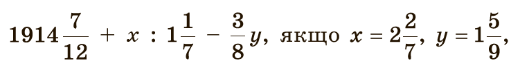
Різдвяну пісню українського композитора Миколи Леонтовича «Щедрик» співають у всьому світі! Обчисли значення виразу
та дізнаєшся рік першого виконання цього твору.
Розв'язок:

Різдвяну пісню українського композитора Миколи Леонтовича «Щедрик» співають у всьому світі! Обчисли значення виразу
та дізнаєшся рік першого виконання цього твору.
