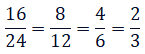
§ 3. Основна властивість дробу. Скорочення дробів. Зведення дробу до нового знаменника № 173 - 213 Завдання № 182 Запиши три дроби, що дорівнюють дробу $\frac{16}{24}$, знаменники яких менші від знаменника цього дробу. Розв'язок: Завдання № 181 Завдання № 181 Завдання № 183 Завдання № 183