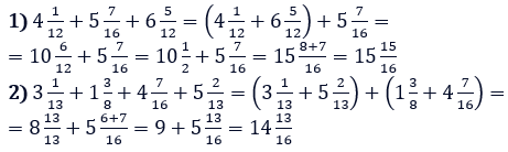
§ 6. Додавання і віднімання мішаних чисел № 276 - 314 Завдання № 298 Завдання: Обчисли значення виразу, використовуючи властивості додавання: Розв'язок: Завдання № 297 Завдання № 297 Завдання № 299 Завдання № 299