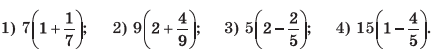
Обчисли, застосовуючи розподільну властивість множення:
![]()
Розв'язок:
1. $7\left(1 + \frac{1}{7}\right) = 7 \cdot 1 + 7 \cdot \frac{1}{7} = 7 + 1 = 8$
2. $9\left(2 + \frac{4}{9}\right) = 9 \cdot 2 + \frac{9 \cdot 4}{9} = 18 + 4 = 22$
3. $5\left(2 - \frac{2}{5}\right) = 5 \cdot 2 - \frac{5 \cdot 2}{5} = 10 - 2 = 8$
4. $15\left(1 - \frac{4}{5}\right) = 15 \cdot 1 - \frac{15 \cdot 4}{5} = 15 - 12 = 3$
