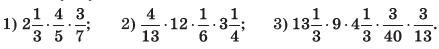
§ 9. Множення звичайних дробів № 347 - 386 Завдання № 368 Завдання: Знайди значення виразу, використовуючи переставну та сполучну властивості множення: Розв'язок: Завдання № 367 Завдання № 367 Завдання № 369 Завдання № 369