Завдання:
Знайди прізвище видатного українського письменника:

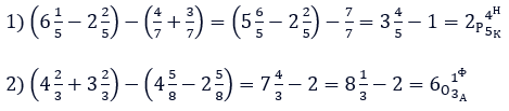
Розв'язок:

|
1 |
2 |
3 |
4 |
5 |
6 |
|
Ф |
Р |
А |
Н |
К |
О |
Відповідь: Франко.
Знайди прізвище видатного українського письменника:


|
1 |
2 |
3 |
4 |
5 |
6 |
|
Ф |
Р |
А |
Н |
К |
О |
Відповідь: Франко.