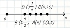
§ 26. Додатні та від’ємні числа. Число 0 № 867 - 883 Завдання № 880 Познач на координатному промені точки A(4), B (2$\frac{1}{2}$), C(5,5), D (3$\frac{1}{4}$), E(4,75). Розв'язок: Завдання № 879 Завдання № 879 Завдання № 881 Завдання № 881