Обчисли значення виразу:

Розв'язок:
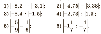
1) ǀ-8,2ǀ + ǀ-3,1ǀ = 8,2 + 3,1 = 11,3
2) ǀ-4,75ǀ - ǀ3,38ǀ = 4,75 – 3,38 = 1,37
3) ǀ-8,4ǀ ∙ ǀ-1,5ǀ = 8,4 ∙ 1,5 = 12,6
4) ǀ-2,73ǀ : ǀ1,3ǀ = 2,73 : 1,3 = 2,1
5) ǀ-$\frac{5}{9}$ǀ - ǀ$\frac{1}{6}$ǀ = $\frac{5}{9}$ – $\frac{1}{6}$ = $\frac{7}{18}$
6) ǀ-1 $\frac{1}{7}$ǀ : ǀ-$\frac{4}{7}$ǀ = 1 $\frac{1}{7}$ : $\frac{4}{7}$ = 2
