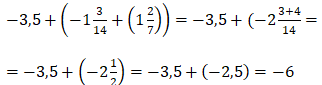
§ 31. Додавання від’ємних чисел № 1020 - 1049 Завдання № 1038 До числа, протилежного числу 3,5, додай суму чисел - 1$\frac{3}{14}$ і - 1$\frac{2}{7}$. Розв'язок: Завдання № 1037 Завдання № 1037 Завдання № 1039 Завдання № 1039