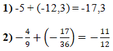
§ 31. Додавання від’ємних чисел № 1020 - 1049 Завдання № 1041 Добери число так, щоб утворилася правильна рівність:1) … + (–12,3) = –17,3; 2) -$\frac{4}{9}$ + … = -$\frac{11}{12}$. Розв'язок: Завдання № 1040 Завдання № 1040 Завдання № 1042 Завдання № 1042