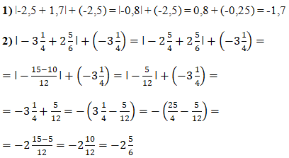
Знайди значення виразу |a + b| + a, якщо:
1) a = –2,5; b = 1,7;
2) a = -3$\frac{1}{4}$; b = 2$\frac{5}{6}$.
Розв'язок:
1) $a=-2{,}5;\ b=1{,}7$
$a+b=-2{,}5+1{,}7=-0{,}8$
$|a+b|=|-0{,}8|=0{,}8$
$|a+b|+a=0{,}8+(-2{,}5)=-1{,}7$
Відповідь: $-1{,}7$
2) $a=-3\frac{1}{4};\ b=2\frac{5}{6}$
$a=-\frac{13}{4}, \quad b=\frac{17}{6}$
$a+b=-\frac{13}{4}+\frac{17}{6}=-\frac{39}{12}+\frac{34}{12}=-\frac{5}{12}$
$|a+b|=\frac{5}{12}$
$|a+b|+a=\frac{5}{12}-\frac{13}{4}=\frac{5}{12}-\frac{39}{12}=-\frac{34}{12}=-\frac{17}{6}=-2\frac{5}{6}$
Відповідь: $-2\frac{5}{6}$
