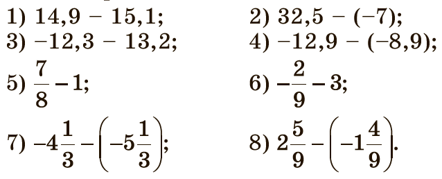
Обчисли різницю:

Розв'язок:
1) $14{,}9 - 15{,}1 = -0{,}2;$
2) $32{,}5 - (-7) = 39{,}5;$
3) $-12{,}3 - 13{,}2 = -25{,}5;$
4) $-12{,}9 - (-8{,}9) = -4;$
5) $\frac{7}{8} - 1 = -\frac{1}{8};$
6) $-\frac{2}{9} - 3 = -\frac{29}{9} = -3\frac{2}{9};$
7) $-4\frac{1}{3} - \left(-5\frac{1}{3}\right) = 1;$
8) $2\frac{5}{9} - \left(-1\frac{4}{9}\right) = 4.$
