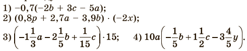
Розкрий дужки:

Розв'язок:
1) $-0{,}7 ⋅ (-2b + 3c - 5a) =$
$= -0{,}7 ⋅ (-2b) - 0{,}7 ⋅ 3c - 0{,}7 ⋅ (-5a) =$
$= 1{,}4b - 2{,}1c + 3{,}5a$
2) $(0{,}8p + 2{,}7a - 3{,}9b) ⋅ (-2x) =$
$= 0{,}8p ⋅ (-2x) + 2{,}7a ⋅ (-2x) - 3{,}9b ⋅ (-2x) = $
$= -1{,}6px - 5{,}4ax + 7{,}8bx$
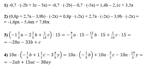
3) $\left(-1\frac{1}{3}a-2\frac{1}{5}b+\frac{1}{15}c\right)\cdot15=$
$=-\frac{4}{3}a\cdot15-\frac{11}{5}b\cdot15+\frac{1}{15}c\cdot15=$
$=-20a-33b+c$
4) $10a\cdot\left(-\frac{1}{5}b+1\frac{1}{2}c-3\frac{4}{5}y\right)=$
$=10a\cdot\left(-\frac{1}{5}b\right)+10a\cdot\frac{3}{2}c-10a\cdot\frac{19}{5}y=$
$=-2ab+15ac-38ay$
