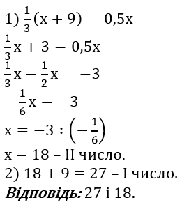
§ 42. Розв’язування задач за допомогою рівнянь № 1400 - 1454 Завдання № 1444 Перше число на 9 більше за друге. $\frac{1}{3}$ від першого числа дорівнює 50 % від другого. Знайди ці числа. Розв'язок: Примітка: 50% = 0,5. Завдання № 1443 Завдання № 1443 Завдання № 1445 Завдання № 1445