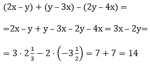
§ 46. Координатна площина № 1537 - 1583 Завдання № 1580 Спрости вираз (2x – y) + (y – 3x) – (2y – 4x) та знайди його значення, якщо x = 2$\frac{1}{3}$, y = -3$\frac{1}{2}$. Розв'язок: Завдання № 1579 Завдання № 1579 Завдання № 1581 Завдання № 1581