Самостійна робота С-1 Варіант 1
(Сторінка 8)
- У якій з пар чисел перше число кратне другому?
А. 36 і 10
Б. 36 і 9✅
В. 4 і 20
Г. 17 і 3
- Округли число:
1) 7385 до десятків; 7390
2) 4,731 до десятих; 4,7
3) 5,836 до одиниць. 6
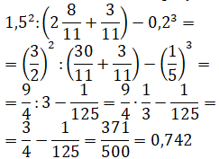
- Знайди значення виразу:

- Запиши три десяткових дроби, кожний з яких більший за 8,5, але менший від 8,7.
8,5 < 8,51; 8,52; 8,53 < 8,7.
