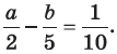
Вправи для повторення розділу 1 № 1 - 100 Завдання № 34 Завдання: Знайди деякі два числа a і b, для яких правильною є рівність Розв'язок: Завдання № 33 Завдання № 33 Завдання № 35 Завдання № 35