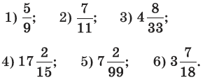
Вправи для повторення розділу 1 № 1 - 100 Завдання № 45 Завдання: Перетвори звичайні дроби та мішані числа на нескінченні десяткові періодичні дроби: Розв'язок: Завдання № 44 Завдання № 44 Завдання № 46 Завдання № 46