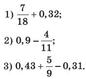
Вправи для повторення розділу 1 № 1 - 100 Завдання № 50 Завдання: Перетвори звичайні дроби в десяткові, округлені до сотих, і обчисли: Розв'язок: Завдання № 49 Завдання № 49 Завдання № 51 Завдання № 51