Завдання:
Обчисли:
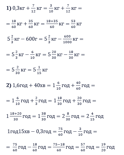
1) у кілограмах: 0,3 кг + 7/12 кг; 5 2/3 кг – 600 г;
2) у годинах: 1,6 год + 40 хв; 1 год 15 хв – 0,3 год.
Розв'язок:

Обчисли:
1) у кілограмах: 0,3 кг + 7/12 кг; 5 2/3 кг – 600 г;
2) у годинах: 1,6 год + 40 хв; 1 год 15 хв – 0,3 год.

