Завдання:
Склади числовий вираз і знайди його значення:
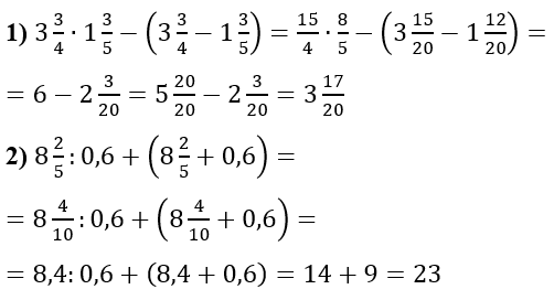
1) від добутку чисел 3 3/4 і 1 3/5 відніми їхню різницю;
2) до частки чисел 8 2/5 і 0,6 додай їхню суму.
Розв'язок:

Склади числовий вираз і знайди його значення:
1) від добутку чисел 3 3/4 і 1 3/5 відніми їхню різницю;
2) до частки чисел 8 2/5 і 0,6 додай їхню суму.

