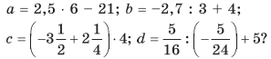
Вправи для повторення розділу 3 № 1 - 163 Завдання № 125 Завдання: Яке із чисел a, b, c і d найменше, а яке — найбільше, якщо: Розв'язок: Завдання № 124 Завдання № 124 Завдання № 126 Завдання № 126