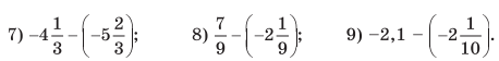
Завдання:
Виконай віднімання:
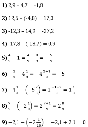
1) 2,9 – 4,7;
2) 12,5 – (–4,8);
3) –12,3 – 14,9;
4) –17,8 – (–18,7);
5) 4/9 - 1;
6) -2/3 - 4 1/3;
Розв'язок:

Виконай віднімання:
1) 2,9 – 4,7;
2) 12,5 – (–4,8);
3) –12,3 – 14,9;
4) –17,8 – (–18,7);
5) 4/9 - 1;
6) -2/3 - 4 1/3;

