Завдання:
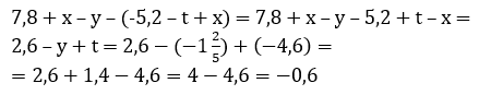
Запиши різницю виразів 7,8 + x – y і –5,2 – t + x та спрости її. Знайди значення цієї різниці, якщо x = 17 2/113; y = -1 2/5; t = –4,6.
Розв'язок:

Запиши різницю виразів 7,8 + x – y і –5,2 – t + x та спрости її. Знайди значення цієї різниці, якщо x = 17 2/113; y = -1 2/5; t = –4,6.

