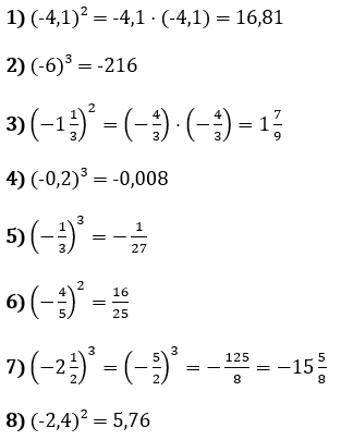
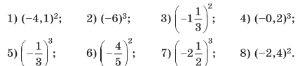
Вправи для повторення розділу 3 № 1 - 163 Завдання № 71 Завдання: Обчисли значення квадрата або куба від’ємного числа: Розв'язок: Завдання № 70 Завдання № 70 Завдання № 72 Завдання № 72