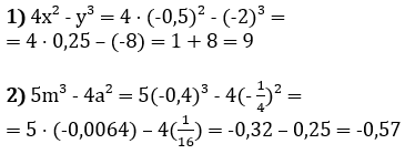
Вправи для повторення розділу 3 № 1 - 163 Завдання № 73 Завдання: Обчисли значення виразу:1) 4x2 – y3, якщо x = –0,5; y = –2;2) 5m3 – 4a2, якщо m = –0,4; a = - 1/4. Розв'язок: Завдання № 72 Завдання № 72 Завдання № 74 Завдання № 74