ДОМАШНЯ САМОСТІЙНА РОБОТА № 7
(сторінка №61-62)
- –8 + (–7) = ...
А. 1
Б. –1
В. 15
Г. –15✅ - Обчисли суму 4 + (–7).
А. 3
Б. –3✅
В. 11
Г. –11 - Знайди різницю –2 – (–3).
А. 5
Б. –5
В. 1✅
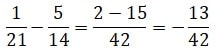
Г. –1 - Обчисли $\frac{1}{21}$ - $\frac{5}{14}$.
Розв'язок:
А. - $\frac{13}{42}$✅
Б. $\frac{17}{42}$
В. $\frac{13}{42}$
Г. -$\frac{4}{7}$ - Знайди значення виразу 4,7 + (–5,2) + 6,3 + (–1,7) + (–4,7) + 11,8 зручним способом.
Розв'язок: 4,7 + (-5,2) + 6,3 + (-1,7) + (-4,7) + 11,8 = 18,1 – 6,9 = 11,2
А. 10,2
Б. 11,2✅
В. –11,2
Г. 14,6 - Розкрий дужки у виразі 3,2 – (4,7 – 5,9) і знайди його значення.
Розв'язок: 3,2 – (4,7 – 5,9)= 3,2 – 4,7 + 5,9 = 4,4
А. –4,4
Б. 2
В. 4,4✅
Г. –7,4 - Знайди значення виразу - 5$\frac{4}{9}$ - 2$\frac{11}{12}$.
Розв'язок:
А. 2$\frac{19}{36}$
Б. -2$\frac{19}{36}$
В. -7$\frac{13}{36}$
Г. -8$\frac{13}{36}$✅ - Спрости вираз –(p + 3) + (b – 2) – (a – p).
Розв'язок: -(p + 3) + (b – 2) – (a – p) = -p – 3 + b – 2 – a + p = b – a – 5
А. b – a – 5✅
Б. b – a – 1
В. b + a – 5
Г. b – a + 1 - Розв’яжи рівняння –2,7 – (x – 4,7) = –12,5, спростивши спочатку вираз у його лівій частині.
Розв'язок: -2,7 – (х – 4,7) = -12,5
-2,7 – х + 4,7 = -12,5
2 – х = -12,5
-х = -12,5 – 2
-х = -14,5
х = 14,5
А. –14,5
Б. 5,1
В. 14,5✅
Г. –10,5 - Порівняй значення виразів a + b і c + d, якщо a = -2$\frac{1}{8}$; b = –3,2; c = 4,7; d = -10$\frac{1}{40}$.
Розв'язок:
А. a + b > c + d
Б. a + b = c + d✅
В. a + b < c + d
Г. порівняти неможливо - Укажи нерівність, яка є правильною, якщо x < 0.
А. x + 7 > 7
Б. x + x > x
В. x – 1 > 0
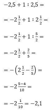
Г. x – 12 < –12✅ - Знайди суму, доданками якої є числа: обернене й протилежне до числа 2,5.
Розв'язок:
А. 0
Б. 2,1
В. –2,1✅
Г. –2,3
