ДОМАШНЯ САМОСТІЙНА РОБОТА № 8
(сторінка №87-88)

А. 2
Б. –2
В. –$\frac{1}{2}$
Г. $\frac{1}{2}$✅- Укажи коефіцієнт буквеного виразу –0,7x.
А. 0,7
Б. –0,7✅
В. 0
Г. –7 - Зведи подібні доданки у виразі 4y – 12y.
А. 8y
Б. 3y
В. –48y
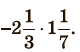
Г. –8y✅ - Знайди значення добутку

Розв'язок:
А. -2$\frac{1}{3}$
Б. 2$\frac{2}{3}$
В. -2$\frac{2}{3}$✅
Г. -2$\frac{1}{21}$ - Обчисли (–0,4)3.
Розв'язок: (–0,4)3 = -0,4 ⋅ (-0,4) ⋅ (-0,4) = -0,064
А. –0,064✅
Б. 0,064
В. –0,12
Г. –0,64 - Спрости 4a-5b-3a+2b
Розв'язок: 4a – 5b – 3a + 2b = a – 3b
A. a+3b
Б. a-3b✅
В. -3b
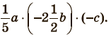
Г. -2ab - Спрости вираз

Розв'язок:
А. -$\frac{1}{2}$ abc
Б. abc
В. $\frac{1}{2}$ abc✅
Г. 2$\frac{1}{10}$ abc - Обчисли значення виразу -1,2(х-0,5) +0,2(6х-10), якщо x = 7,398.
Розв'язок: -1,2(7,398 – 0,5) + 0,2(6 ⋅ 7,398 – 10) = -1,2 ⋅ 6,898 + 0,2(44,388 – 10) = -8,2776 + 0,2 ⋅ 34,388 = -8,2776 + 6,8776 = -1,4
А. –1,4✅
Б. 1,4
В. 5,998
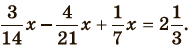
Г. –8,798 - Розв’яжи рівняння

Розв'язок:
А. –14
Б. 14✅
В. 28
Г. 6$\frac{2}{3}$ - Відомо, що ab < 0, bc > 0 . Якого значення може набувати добуток ac?
Розв'язок: Якщо ab < 0, bc > 0, тоді а < 0; b > 0; с > 0, відповідно ас < 0.
А. 3
Б. 0
В. –191✅
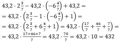
Г. 159 - Обчисли зручним способом

Розв'язок:
А. 388,8
Б. –432
В. 43,2
Г. 432✅ - Знайди значення виразу -5a-(4a-3b), якщо b-3a = -5.
Розв'язок: -5a – (4a – 3b) = -5a – 4a + 3b = -9a + 3b = 3(b – 3a) = 3 ⋅ (-5) = -15
А. –15✅
Б. 15
В. –10
Г. знайти неможливо
