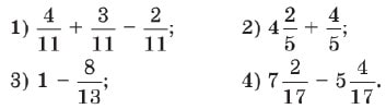
Виконай дії:
1) $\frac{4}{11}$+$\frac{3}{11}$ – $\frac{2}{11}$;
2) 4 $\frac{2}{5}$+ $\frac{4}{5}$;
3) 1 – $\frac{8}{13}$;
4) 7 $\frac{2}{17}$ – 5 $\frac{4}{17}$.

Розв'язок:

