Обчисли:
1) $\frac{5}{19}$ + $\frac{7}{19}$ – $\frac{4}{19}$;
2) 7 $\frac{5}{7}$ + $\frac{6}{7}$;
3) 1 – $\frac{9}{13}$;
4) 9 $\frac{7}{13}$ – 6 $\frac{9}{13}$.

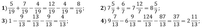
Розв'язок:

