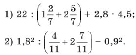
Знайди значення виразу:
1) 22 : (1 $\frac{2}{7}$ + 2 $\frac{5}{7}$) + 2,8 ∙ 4,5;
2) 1,82 : ($\frac{4}{11}$ + 2 $\frac{7}{11}$) – 0,92.

Розв'язок:

