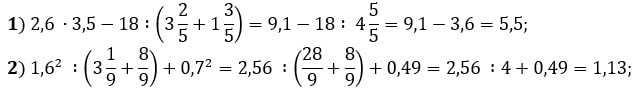
Знайди значення виразу:
1) 2,6 ∙ 3,5 – 18 : (3 $\frac{2}{5}$ + 1 $\frac{3}{5}$) ;
2) 1,62 : (3 $\frac{1}{9}$ + $\frac{8}{9}$)+ 0,72.

Розв'язок:

