Завдання:
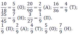
Скороти кожний із дробів 10/18 (О); 20/90 (А); 16/36 (Т); 35/45 (Н); 3/27 (П), розташуй їх у порядку зростання та прочитай прізвище видатного українського вченого в галузі зварювання.
Розв'язок:

Відповідь: Платон.
Скороти кожний із дробів 10/18 (О); 20/90 (А); 16/36 (Т); 35/45 (Н); 3/27 (П), розташуй їх у порядку зростання та прочитай прізвище видатного українського вченого в галузі зварювання.

Відповідь: Платон.