Завдання:
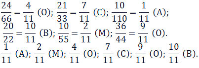
Скороти кожний із дробів 24/66 (О); 21/33 (С); 10/110 (А); 20/22 (В); 10/55 (М); 36/44 (О), розташуй їх у порядку зростання та прочитай прізвище видатного українського вченого, кардіохірурга.
Розв'язок:

Відповідь: Амосов.
Скороти кожний із дробів 24/66 (О); 21/33 (С); 10/110 (А); 20/22 (В); 10/55 (М); 36/44 (О), розташуй їх у порядку зростання та прочитай прізвище видатного українського вченого, кардіохірурга.

Відповідь: Амосов.