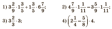
§ 9. Множення звичайних дробів № 347 - 386 Завдання № 373 Завдання: Обчисли, використовуючи розподільну властивість множення: Розв'язок: Завдання № 372 Завдання № 372 Завдання № 374 Завдання № 374