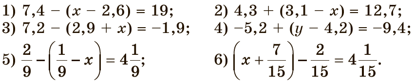
§ 35. Розкриття дужок № 1163 - 1190 Завдання № 1181 Завдання: Розв’яжи рівняння, спростивши спочатку вираз у його лівій частині: Розв'язок: Завдання № 1180 Завдання № 1180 Завдання № 1182 Завдання № 1182