Завдання:
Доведи, що для будь-якого натурального значення n значення виразу
кратне числу 7.
Розв'язок:

При будь-якому натуральному значенні n значення виразу 21n, а тому й значення початкового виразу, кратне 7.
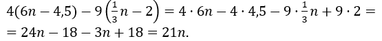
Доведи, що для будь-якого натурального значення n значення виразу
кратне числу 7.

При будь-якому натуральному значенні n значення виразу 21n, а тому й значення початкового виразу, кратне 7.