Діагностична (контрольна) робота ДР-1 Варіант 4
(Сторінка 13)
- Який із дробів менший від дробу $\frac{19}{29}$?
А. $\frac{27}{29}$
Б. $\frac{23}{29}$
В. $\frac{21}{29}$
Г. $\frac{12}{29}$✅
- Знайди периметр прямокутника зі сторонами 3 см і 6,2 см.
А. 18,6 см
Б. 9,2 см
В. 18,4 см✅
Г. 19,4 см
P = 2 ∙ (3 + 6,2) = 2 ∙ 9,2 = 18,4 см
- Запиши у вигляді десяткового дробу число:
![]()
А. 7,03
Б. 3,07✅
В. 3,7
Г. 3,007
- Знайди корінь рівняння 20,93 : х = 2,6.
А. 8,05✅
Б. 8,5
В. 85
Г. 0,85

- Побудуй кут, градусна міра якого дорівнює 130°.

-
Художник представив на виставці 15 картин. З них $\frac{3}{5}$ – пейзажні. Скільки пейзажів художник представив на виставці?
$15\cdot\frac{3}{5}=(15 ∶ 5)\cdot3=3\cdot3=9$ (картин)
Відповідь: 9 картин.
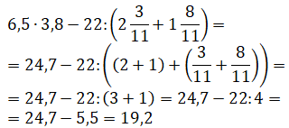
- Обчисли значення виразу:

Відповідь: 19,2.
- Турист рухався 4 год зі швидкістю 4,1 км/год, а за останню годину пройшов ще 3,1 км. Знайди середню швидкість туриста на всьому шляху.
1) $4{,}1\cdot4=16{,}4$ (км)-шлях за 4 год
2) $16{,}4+3{,}1=19{,}5$ (км)-увесь шлях
3) $4+1=5$ (год)-увесь час
4) $19{,}5 ∶ 5=3{,}9$ (км/год)
Відповідь: 3,9 км/год.
- Знайди найбільше чотирицифрове число, кратне числу 43.
Найбільше чотирицифрове число, кратне числу 43, можна знайти, поділивши 9999 на 43 і округлити результат:
1) $9999 ∶ 43=232$ (ост.23)
2) $9999-23=9976$ – найбільше чотирицифрове число, кратне числу 43.
Відповідь: 9976.
