Діагностична (контрольна) робота ДР-3 Варіант 4
(Сторінка 31)
- Виконай множення:

А. 1/13
Б. 2/13✅
В. 1/26
Г. 6/13
- Обчисли:

А. 1 1/2
Б. 50/147
В. 2/7
Г. 2/3✅
-
Від мотузки завдовжки 16 м відрізали 3/4 цієї довжини. Скільки метрів мотузки відрізали?
А. 10
Б. 12✅
В. 14
Г. 8
16 · 3 : 4 = 4 · 3 = 12
- У діжку налили 28 л води, заповнивши 4/5 її об’єму. Скільки літрів води вміщує діжка?
А. 42
Б. 49
В. 35✅
Г. 25
![]()
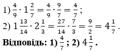
- Знайди добуток:

- Знайди частку:

- Знайди значення виразу:

- Розв’яжи рівняння:

- З двох міст одночасно назустріч один одному вирушили два автомобілі. Швидкість одного з них 68 км/год, а другого – в 1 1/3 рази менша. Якою буде відстань між автомобілями через 1 1/5 год після початку руху, якщо відстань між містами 203 км?

