Самостійна робота С-17 Варіант 1
(Сторінка 74)
- Знайди корінь рівняння –3х = 12.
А. 4
Б. 3
В. –4✅
Г. –3
-
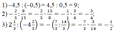
Знайди частку:

-
Для якого значення у значення виразів 8(2 – у) і –3(1 + 2у) рівні між собою?
8(2 – у) = –3(1 + 2у)
16 – 8у = –3 – 6у
16 + 3 = 8у – 6у
19 = 2у
у = 19 : 2
у = 9,5
- Для якого значення а коренем рівняння (а – 3)х = 3 + 4а є число 5?
(а – 3)х = 3 + 4а; х = 5
(а – 3) · 5 = 3 + 4а
5а – 15 = 3 + 4а
5а – 4а = 3 + 15
а = 18
