Самостійна робота С-17 Варіант 2
(Сторінка 74)
- Знайди корінь рівняння 4у = –20.
А. 5
Б. –5✅
В. –4
Г. 4
-
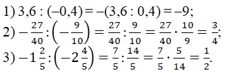
Знайди частку:

-
Для якого значення х значення виразів 11(2 – х) і –3(1 + 3х) рівні між собою?
11(2 – х) = –3(1 + 3х)
22 – 11х = –3 – 9х
22 + 3 = 11х – 9х
25 = 2х
х = 25 : 2
х = 12,5
- Для якого значення а коренем рівняння (а – 2)х = 3 + 5а є число 6?
(а – 2)х = 3 + 5а; х = 6
(а – 2) · 6 = 3 + 5а
6а – 12 = 3 + 5а
6а – 5а = 3 + 12
а = 15
