Самостійна робота С-3 Варіант 4
(Сторінка 17)
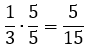
- Зведи до знаменника 15 дріб $\frac{1}{3}$.
А. $\frac{1}{15}$
Б. $\frac{3}{15}$
В. $\frac{5}{15}$✅
Г. $\frac{15}{15}$
![]()
- Обчисли:

- Запиши десятковий дріб у вигляді звичайного, якщо можливо, скоротити результат:

- Знайди три таких звичайних дроби, кожний з яких більший за $\frac{1}{9}$, але менший від $\frac{1}{12}$.

