Самостійна робота С-4 Варіант 1
(Сторінка 18)
- Відомо, що $\frac{182}{495}$ = 0,3676767… Знайди десяткове наближення цього дробу до тисячних.
А. 0,36
Б. 0,37
В. 0,368✅
Г. 0,367
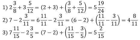
- Виконай дію:

- Запиши у вигляді нескінченного періодичного дробу частку 13 : 9.
1) 13 : 9 = 1 (4 залишок)
2) 1 + $\frac{4}{9}$
3) 4 : 9 = 0,(4)
4) 1 + 0,(4) = 1,(4)
- За три години Олесь подолав 13$\frac{1}{5}$ км. За перші дні години він подолав 8$\frac{2}{5}$ км, а за останні дві – 8$\frac{7}{10}$ км. По скільки кілометрів долав Олесь щогодини?

Відповідь: за першу годину Олесь долав 4$\frac{4}{5}$ км, за другу – 3$\frac{9}{10}$ км, а за третю – 4$\frac{4}{5}$ км.
