Самостійна робота С-4 Варіант 2
(Сторінка 18)
- Відомо, що 182/495 = 0,3676767… Знайди десяткове наближення цього дробу до сотих.
А. 0,36
Б. 0,37✅
В. 0,368
Г. 0,367
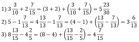
- Виконай дію:

- Запиши у вигляді нескінченного періодичного дробу частку 17 : 9.
1) 17 : 9 = 1 (8 залишок)
2) 1 + 8/9
3) 8/9 = 0,(8)
4) 1 + 0,(8) = 1,(8)
- Три машини разом перевезли 11 3/5 т піску. З них перша і друга разом – 7 4/5 т, а друга і третя – 8 1/10 т. По скільки тони піску перевезла кожна машина?

Відповідь: перша машина перевезла 3 1/2 т, друга –4 3/10 т, а третя – 3 4/5 т.
