Самостійна робота С-4 Варіант 4
(Сторінка 19)
- Відомо, що 46/165 = 0,2787878… Знайди десяткове наближення цього дробу до тисячних.
А. 0,28
Б. 0,27
В. 0,278
Г. 0,279✅
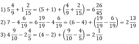
- Виконай дію:

- Запиши у вигляді нескінченного періодичного дробу частку 24 : 9.
1) 24 : 9 = 2 (6 залишок)
2) 2 + 6/9 = 2 + 2/3
3) 2/3 = 0,(3)
4) 2 + 0,(3) = 2,(3)
- За 3 год Марійка подолав 9 4/5 км. За перші дві години вона подолала 6 3/10 км, а за останні дві години – 7 1/5 км. По скільки кілометрів долала Марійка щогодини?

Відповідь: Марійка подолала за першу годину 2 3/5 км, за другу – 3 7/10 км, а за третю – 3 1/2 км.
