Самостійна робота С-4 Варіант 3
(Сторінка 19)
- Відомо, що 46/165 = 0,2787878… Знайди десяткове наближення цього дробу до сотих.
А. 0,28✅
Б. 0,27
В. 0,278
Г. 0,279
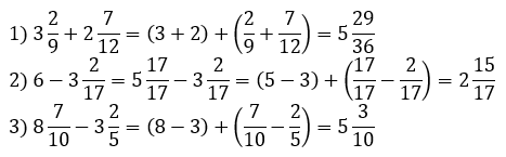
- Виконай дію:

- Запиши у вигляді нескінченного періодичного дробу частку 21 : 9.
1) 21 : 9 = 2 (3 залишок)
2) 2 + 3/9 = 2 + 1/3
3) 1/3 = 0,(3)
4) 2 + 0,(3) = 2,(3)
- Іван, Петро й Сергій разом зібрали 9 1/5 кг грибів. Іван і Петро разом зібрали 6 2/5 кг, а Петро й Сергій – 5 7/10 кг. По скільки кілограмів грибів зібрав кожний?

Відповідь: Іван назбирав 3 1/2 кг грибів, Петро – 2 9/10 кг грибів, а Сергій – 2 4/5 кг грибів.
