Самостійна робота С-6 Варіант 4
(Сторінка 27)
- Знайди число, якщо 1/8 його дорівнює 3.
А. 24✅
Б. 8/3
В. 3/8
Г. 8,3
x : 8 = 3
x = 3 ⋅ 8 = 24
- Перетвори десятковий дріб у звичайний, а потім обчисли:

Відповідь: 9/25.
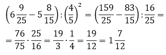
- Обчисли:

Відповідь: 19/12.
- У баскетбольному матчі Сергій і Сашко набрали разом 49 очок, причому Сашко набрав у 1 1/3 рази більше очок, ніж Сергій. По скільки очок набрав кожен з хлопців?
1) Нехай Сергій набрав – х очок, тоді Сашко – 1 1/3х очок, тоді:
2) 49 – 21 = 28 (оч.) – набрав Сашко.
Відповідь: Сергій набрав 21 очко, а Сашко – 28 очок.
